Bottom Up Solution (BUS) 

This is the beginning of it all. This report demonstrated Critical Ratios used to derive information about fats.
>Click on picture for article.

The Updated Bottom Up Solution (UBUS)

This report was the first generalization of the BUS. This simplified six Cases into two Cases three levels deep. 
Critical Limits of Critical Ratios form Fibonacci Ratios. 


The Updated Bottom Up Solution (UBUS2)

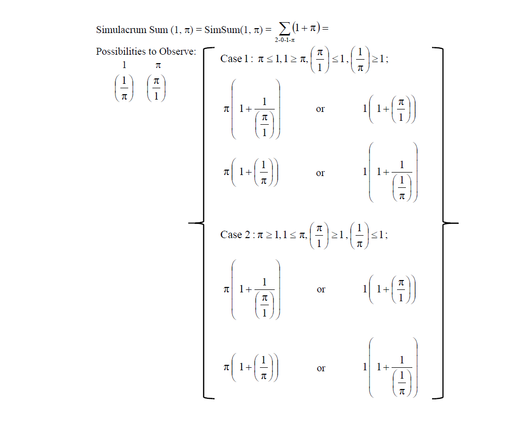
This article took "the road not previously taken" in the Updated Bottom Up Solution as well as the normal path. Using both approaches, the two halves could be united into The Simulacrum.

The Simulacrum System

The Simulacrum System is a new function that describes the sum of all possible solutions for the sum of two values expressed as a value and a ratio of the values.

Start HERE.

Three of four of these articles are not subject to copyright, being the product of federally funded research.

Click on each picture to download the article.

Key References for The Simulacrum System

Below are the peer-reviewed publications throughout Dr. Byrdwell's career.
Here are the four publications that form the foundation of The Simulacrum System.

Click on a publication for the .pdf file or online access.

Peer-Reviewed Publications, and Books, and Book Chapters:

  1. Byrdwell, W.C., Kalscheur, K.F., An Interactive R-based Custom Quantification Program for Semi-Quantitative Analysis of Triacylglycerols in Bovine Milk Analytical and Bioanalytical Chemistry , 416:5527 (2024), DOI:  10.1007/s00216-024-05528-x.
  2. Byrdwell, W.C., Kotapati, H.K., Multi-Dimensional Liquid Chromatography of Pulse Triacylglycerols with Triple Parallel Mass Spectrometry, Separations10(12):594 (2023), DOI: 10.3390/separations10120594.
  3. Byrdwell, W., Kotapati, H.K., Goldschmidt, R., Fast Chromatography of Pulse Triacylglycerols Journal of the American Oil Chemists' Society, 100(1):25-43 (2022), DOI:  10.1002/aocs.12665 .
  4. Byrdwell, W., Goldschmidt, R., Fatty Acids of Ten Commonly Consumed PulsesMolecules, 27(21):7260 (2022), DOI:  10.3390/molecules27217260 .
  5. Byrdwell, W.C., Kotapati, H.K., Goldschmidt, R., Jakubec, P., Nováková, L., Three-Dimensional Liquid Chromatography with Parallel Second Dimensions and Quadruple Parallel Mass Spectrometry for Adult/Infant Formula AnalysisJournal of Chromatography A, 1661:462682 (2022), DOI:  10.1016/j.chroma.2021.462682 .
  6. Byrdwell, W.C., "Mass Spectrometry for Analysis of Glycerolipids", in  Mass Spectrometry for Lipidomics: Methods and Applications, Eds. M. Holčapek, K. Ekroos, Wiley-VCH Verlag GmbH, November 30, 2022.
  7. Kotha, R.R., Tareq, F.S., Byrdwell, C., Luthria, D.L., Rapid and Sensitive Analytical Assessment of Curcuminoids and Three Common Turmeric Adulterants in a Single Run Using Liquid Chromatography and Tandem Mass SpectrometryFood Science and Technology, 1:2174 (2021), DOI:  10.1021/acsfoodscitech.1c00356 .
  8. Byrdwell, W.C. Breaking the Rules: Two- and Three-Dimensional Liquid Chromatography with Four Dimensions of Mass SpectrometryCurrent Trends in Mass Spectrometry,19(1):6 (2021). Also available online at:  LC-GC (ChromatrographyOnline.com)
  9. Byrdwell, W. C., Kubzdela, N., Goldschmidt, R., Changes in Compositions of Galactolipids, Triacylglycerols, and Tocopherols of Lettuce Varieties (Lactuca sativa L.) with Type, Age, and Light Source Journal of Food Composition and Analysis, 100:103631 (2021), DOI:  10.1016/j.jfca.2020.103631Supporting Information can be Downloaded Here.
  10. Goldschmidt, R., Byrdwell, W. GC Analysis of Seven Seed Oils Containing Conjugated Fatty AcidsSeparations,8:51 (2021), DOI: 10.3390/separations8040051.
  11. Byrdwell, W. C., Timed Relay Contact Closure Controlled System for Parallel Second Dimensions in Multi-Dimensional Liquid ChromatographyBioMed Central (BMC) Research Notes, 12:477 (2019), DOI:  10.1186/s13104-019-4506-7.
  12. Byrdwell, W. C., A Note on the Use of Workstation Software Programs for QuantificationJournal of Liquid Chromatography and Related Technologies, 42(17-18):570-574 (2019), DOI:  10.1080/10826076.2019.1637350.
  13. Byrdwell, W. C., Blue Jacaranda Seed Oil Analysed Using Comprehensive Two Dimensional Liquid Chromatography with Quadruple Parallel Mass SpectrometryChromatography Today June 13(May/June Ed.):56-64, 2018.
  14. Byrdwell, W. C., Comprehensive Dual Liquid Chromatography with Quadruple Mass Spectrometry (LC1MS2×LC1MS2 = LC2MS4) for Analysis of Parinari Curatellifolia  and Other Seed Oil TriacylglycerolsAnalytical Chemistry, 89(19):10537-10546 (2017), DOI:  10.1021/acs.analchem.7b02753Supporting Information can be Downloaded Here.
  15. Byrdwell, W. C., Analysis of Lipids: Triacylglycerols, Phospholipids, Fatty Acids and OthersBailey's Industrial Oil and Fat Products, 7th Edition, Fereidoon Shahidi, Editor, Published February 13, 2020, John Wiley & Sons, ISBN: 978-1-119-25788-2. DOI:  10.1002/047167849X.bio087
  16. Byrdwell, W. C., Multiple Parallel Mass Spectrometry for Liquid Chromatography, in Handbook of Advanced Chromatography /Mass Spectrometry Techniques, M. Holcapek and W.C. Byrdwell (Eds.), Elsevier Academic Press and AOCS Press, Cambridge, MA, pp. 365-406, 2017.
  17. Korlesky, N.M., Stolp, L.J., Kodali, D.R., Goldschmidt, R., Byrdwell, W. C., Extraction and Characterization of Montmorency Sour Cherry (Prunus cerasus L.) Pit OilJournal of the American Oil Chemists' Society, 93(7):995-1005 (2016), DOI:  10.1007/s11746-016-2835-4.
  18. Byrdwell, W. C., The Simulacrum System as a Construct for Mass Spectrometry of Triacylglycerols and OthersLipids, 51(2):211-227 (2016), DOI:  10.1007/s11745-015-4101-1. (Typo: [OO]+ from OOO, not [LL]+)
  19. Byrdwell, W. C., Liquid Chromatography-Mass Spectrometry of TriacylglycerolsEncyclopedia of Lipidomics, Nov. 9, 2016, DOI:  10.1007/978-94-007-7864-1_80-1.
  20. Byrdwell, W. C., The Updated Bottom Up Solution Applied to Atmospheric Pressure Photoionization and Electrospray Ionization Mass SpectrometryJournal of the American Oil Chemists' Society, 92(11):1533-1547 (2015), DOI:  10.1007/s11746-015-2735-z. (Note that after revision Fig. 2 series are in a different order than Fig.1)
  21. Byrdwell, W. C., Critical Ratios for Structural Analysis of Triacylglycerols Using Mass SpectrometryLipid Technology, 27(11):258-261 (2015), DOI:  10.1002/lite.201500054.
  22. Byrdwell, W. C., The Updated Bottom Up Solution Applied to Mass Spectrometry of Soybean Oil in a Dietary Supplement GelcapAnalytical and Bioanalytical Chemistry, 407(17):5143-5160 (2015), DOI:  10.1007/s00216-015-8590-9.
  23. Byrdwell, W. C., Fast comprehensive analysis of vitamin D and triacylglycerols in dietary supplements using multiple parallel mass spectrometersLipid Technology, 27(7):151-154 (2015), DOI:  10.1002/lite.201500030.
  24. Byrdwell, W. C., Extract-Filter-Shoot Liquid Chromatography with Mass Spectrometry for the Analysis of Vitamin D2 in a Powdered Supplement Capsule and Standard Reference Material 3280Journal of Separation Science, 37(16):2095-2110 (2014), DOI:  10.1002/jssc.201400234.
  25. Byrdwell, W. C., Construction of a Wireless Communication Contact Closure System for Liquid Chromatography with Multiple Parallel Mass Spectrometers and Other DetectorsJournal of Laboratory Automation, 19(5):461-467 (2014), DOI:  10.1177/2211068214543372.
  26. Sapozhnikova, Y., Byrdwell, W.C., Lobato, A., Romig, B., Effects of UV-B Radiation Levels on Concentrations of Phytosterols, Ergothioneine, and Polyphenolic Compounds in Mushroom Powders Used as Dietary SupplementsJournal of Agricultural and Food Chemistry, 62(14):3034-3042 (2014), DOI:  10.1021/jf403852k.
  27. Byrdwell, W.C., Quadruple Parallel Mass Spectrometry Analysis of Vitamin D and Triacylglycerols in a Dietary SupplementJournal of Chromatography A, 1320:48-65 (2013), DOI:  10.1016/j.chroma.2013.10.031.
  28. Byrdwell, W. C., How Many Mass Spectrometers Are Enough? Adventures in Multiple Parallel Mass SpectrometryINFORM, International News on Fats, Oils, and Related Materials, 24(5):312-316 (2013).
  29. Byrdwell, W. C., Horst, R. L., Phillips, K. M., Holden, J. M., Patterson, K. Y., Harnly, J. M., Exler, J. Vitamin D Levels in Fish and Shellfish Determined by Liquid Chromatography with Ultraviolet Detection and Mass SpectrometryJournal of Food Composition and Analysis, 30(2):109-119 (2013), DOI:  10.1016/j.jfca.2013.01.005.
  30. Byrdwell, W. C., Parallel Mass Spectrometry (APCI-MS and ESI-MS) for Lipid AnalysisThe AOCS Lipid Libray, Lipidomics (2012).
  31. Byrdwell, W. C., 'Dilute-and-Shoot' Triple Parallel Mass Spectrometry Method for Analysis of Vitamin D and Triacylglycerols in Dietary SupplementsAnalytical and Bioanalytical Chemistry, 401(10):3317-3334 (2011), DOI:  10.1007/s00216-011-5406-4. (Shows switching system and plumbing of washing valve.)
  32. Byrdwell, W.C., Multiple Parallel Mass Spectrometry Techniques for Lipid and Vitamin D Analysis, in  Extreme Chromatography: Faster, Hotter, Smaller, W.C. Byrdwell and M. Holcapek (Eds.), AOCS Press, Champaign, IL, pp. 255-299, 2011.
  33. Phillips, K. M. , Ruggio, D.M., Horst, R. L., Minor, B., Simon, R., Feeney, M.J., Byrdwell, W. C., Haytowitz, D.B., Vitamin D and Sterol Composition of Ten Types of Mushrooms from Retail Suppliers in the United StatesJournal of Agricultural and Food Chemistry, 59(14):7841-7853 (2011), DOI:  10.1021/jf104246z.
  34. Byrdwell, W. C., Exler, J., Gebhardt, S. E., Harnly, J. M., Holden, J. M., Horst, R. L., Patterson, K. Y., Phillips, K. M. , Wolf, W. R., Liquid Chromatography with Ultraviolet and Dual Parallel Mass Spectrometric Detection for Analysis of Vitamin D in Retail Fortified Orange JuiceJournal of Food Composition and Analysis, 24(3):299-306 (2011), DOI:  10.1016/j.jfca.2010.09.020.
  35. Patterson, K. Y., Phillips, K. M., Horst, R. L., Byrdwell, W. C., Exler,J., Lemar, L. E., Holden, J. M., Vitamin D Content and Variability in Fluid Milks from a US Department of Agriculture Nationwide Sampling to Update Values in the National Nutrient Database for Standard ReferenceJournal of Dairy Science, 93(11):5082-5090 (2010), DOI:  10.3168/jds.2010-3359.
  36. Byrdwell, W. C., Dual Parallel Mass Spectrometry for Lipid and Vitamin D AnalysisJournal of Chromatography A, 1217(25):3992-4003 (2010), DOI:  10.1016/j.chroma.2009.11.101
  37. Byrdwell, W. C., Comparison of Analysis of Vitamin D3 in Foods Using Ultraviolet and Mass Spectrometric DetectionJournal of Agricultural and Food Chemistry, 57(6):2135-2146 (2009), DOI:  10.1021/jf803398u.
  38. Phillips, K. M. , Byrdwell, W. C., Exler, J., Harnly, J. M., Holden, J. M., Holick, M. F., Hollis, B. W., Horst, R. L., Lemar, L. E., Patterson, K. Y., Tarrago-Trani, M. T., Wolf, W. R., Development and Validation of Control Materials for the Measurement of Vitamin D3 in Selected U.S. Foods", Journal of Food Composition and Analysis, 21(7):527-534 (2008), DOI:  10.1016/j.jfca.2008.05.003.
  39. Byrdwell, W. C. , DeVries, J., Exler, J., Harnly, J. M., Holden, J. M., Holick, M. F., Hollis, B. W., Horst, R. L., Lada, M., Lemar, L. E., Patterson, K. Y., Phillips, K. M., Tarrago-Trani, M. T., Wolf, W. R., Analyzing Vitamin D in Food and Supplements: Methodological ChallengesAmerican Journal of Clinical Nutrition, 88(Suppl.):554S-557S (2008).
  40. Byrdwell, W.C., Dual Parallel Liquid Chromatography with Dual Mass Spectrometry (LC2/MS2) for a Total Lipid AnalysisFrontiers in Bioscience, 13:100-120 (2008), DOI:  10.2741/2663.
  41. Byrdwell, W.C., Perry, R.H., Liquid Chromatography with Dual Parallel Mass Spectrometry and 31P Nuclear Magnetic Resonance Spectroscopy for Analysis of Sphingomyelin and Dihydrosphingomyelin: II. Bovine Milk SphingolipidsJournal of Chromatography A, 1146:164-185 (2007), DOI:  10.1016/j.chroma.2007.01.108.
  42. Byrdwell, W.C., Perry, R.H., Liquid Chromatography with Dual Parallel Mass Spectrometry and 31P Nuclear Magnetic Resonance Spectroscopy for Analysis of Sphingomyelin and Dihydrosphingomyelin: I. Bovine Brain and Chicken Egg YolkJournal of Chromatography A, 1133:149-171 (2006), DOI:  10.1016/j.chroma.2006.08.014.
  43. Byrdwell, W.C., Analysis of Triglycerides and Related Compounds in Food Using Liquid Chromatography/Mass Spectrometry TechniquesEncyclopedia of Mass Spectrometry, Vol. 8: Hyphenated Methods, Editors-in-Chief: Michael L. Gross & Richard M. Caprioli; Volume Editor: Wilfried M.A. Niessen, Elsevier Science. Oxford. pp. 654-664 (2006).
  44. Byrdwell, W.C., The Bottom Up Solution to the Triacylglycerol Lipidome Using Atmospheric Pressure Chemical Ionization Mass SpectrometryLipids, 40(4):383-417 (2005), DOI:  10.1007/s11745-006-1398-9also see TheBottomUpSolution.com
  45. List, G.R., Byrdwell, W.C., Steidley, K.R., Adlof, R.O., Neff, W.E., Triacylglycerol Structure and composition of Hydrogenated Soybean Oil Margarine and Shortening BasestocksJournal of Agricultural and Food Chemistry, 53(12):4692-4695 (2005), DOI:  10.1021/jf0404905.
  46. Byrdwell, W.C., "Atmospheric Pressure Ionization Techniques in Modern Lipid Analysis", in  Modern Methods for Lipid Analysis by Liquid Chromatography/ Mass Spectrometry and Related Techniques,, W.C. Byrdwell (Ed.), AOCS Press, Champaign, IL, pp. 1-18, 2005.
  47. Byrdwell, W.C., "Qualitative and Quantitative Analysis of Triacylglycerols by Atmospheric Pressure Ionization (APCI & ESI) Techniques", in  Modern Methods for Lipid Analysis by Liquid Chromatography/ Mass Spectrometry and Related Techniques, W.C. Byrdwell (Ed.), AOCS Press, Champaign, IL, pp. 298-412, 2005.
  48. Byrdwell, W.C., "Dual Parallel Liquid Chromatography/ Mass Spectrometry for Lipid Analysis", in  Modern Methods for Lipid Analysis by Liquid Chromatography/ Mass Spectrometry and Related Techniques, W.C. Byrdwell (Ed.), AOCS Press, Champaign, IL, pp. 510-576, 2005.
  49. Byrdwell, W.C., "Liquid Chromatography/ Atmospheric Pressure Chemical Ionization Mass Spectrometry for Lipid Analysis", in HPLC of Lipids , J.T. Lin and T.A. McKeon(Eds.), HNB Publishing, New York, pp. 269-314, 2005.
  50. Byrdwell, W.C., "Liquid Chromatography with Electrospray Ionization Mass Spectrometry for Lipid Analysis", in HPLC of Lipids , J.T. Lin and T.A. McKeon(Eds.), HNB Publishing, New York, pp. 315-371, 2005.
  51. Byrdwell, W.C., Neff, W.E., Electrospray Ionization Mass Spectrometry of High Molecular Weight Triacylglycerol OligomersJournal of the American Oil Chemists' Society, 81(1):13-26 (2004), DOI:  10.1007/s11746-004-0853-3.
  52. Byrdwell, W.C., "APCI-MS in Lipid Analysis", in  Advances in Lipid Methodology-- Five, R.O. Adlof (Ed.), The Oily Press, Bridgwater, England, pp. 171-253, 2004.
  53. Byrdwell, W.C., Dual Parallel Liquid Chromatography/ Dual Mass Spectrometry (LC2/MS2) of Bovine Brain Total Lipid ExtractJournal of Liquid Chromatography and Related Technologies, 26(19):3147-3181 (2003), DOI:  10.1081/JLC-120025516.
  54. Byrdwell, W.C., Neff, W.E., Dual Parallel Mass Spectrometers for Analysis of Triacylglycerols and Triacylglycerol Oxidation ProductsRapid Communications in Mass Spectrometry, 16(4):300-319 (2002), DOI:  10.1002/rcm.581.
  55. Byrdwell, W.C., Sato, H., Schwarz, A.K., Borchman, D., Yappert, M.C., Tang, D.X., P-31 NMR Quantification and Monophasic Solvent Purification of Human and Bovine Lens PhospholipidsLipids, 37(11):1087-1092 (2002), DOI:  10.1007/s11745-002-1004-1.
  56. Neff. W.E., Byrdwell, W.C., Steidley, K.R., List, G.R., Snowder, G., Triacylglycerol Structure of Animal Tallows, Potential Food Formulation Fats, by High Performance Liquid Chromatography Coupled with Mass SpectrometryJournal of Liquid Chromatography and Related Technologies, 25(6):985-998 (2002), DOI:  10.1081/JLC-120003275.
  57. Byrdwell, W.C., "Atmospheric Pressure Chemical Ionization Mass Spectrometry for Analysis of Lipids", Lipids, 36(4):327-346 (2001), DOI:  10.1007/s11745-001-0725-5.
  58. Byrdwell, W.C., Neff, W.E., Autoxidation Products of Normal and Genetically Modified Canola Oil Varieties Determined Using Liquid Chromatography with Mass Spectrometric DetectionJournal of Chromatography A, 905(1/2):85-102 (2001), DOI: 10.1016/S0021-9673(00)00958-4.
  59. Byrdwell, W.C., Neff, W.E., List, G.R., Triacylglycerol Analysis of Potential Margarine Base Stocks by High Performance Liquid Chromatography with Atmospheric Pressure Chemical Ionization Mass Spectrometry and Flame Ionization DetectionJournal of Agricultural and Food Chemistry, 49(1):446-457 (2001), DOI:  10.1021/jf0008801.
  60. Neff, W.E., Byrdwell, W.C., Triacylglycerol Structures of Food Fats High in Saturated Acids by HPLC and Mass SpectrometryJournal of Liquid Chromatography and Related Technologies, 24(6):837-854 (2001), DOI: 10.1081/JLC-100103414.
  61. Neff, W.E., Byrdwell, W.C., List, G.R., "Analyze This-- Fat", Resource Magazine, ASAE, 8(2):11-12 (2001).
  62. Neff, W.E., Byrdwell, W.C., List, G.R., "A New Method to Analyze Triacylglycerol Composition of Vegetable Oils", Cereal Foods World, 46(1):6-10 (2001).
  63. Neff, W.E., List, G.R., Byrdwell, W.C., Analysis of Triacylglycerol Positional Isomers in Food Products as Brominated Derivatives by High-Performance Liquid Chromatography Coupled with a Flame Ionization DetectorJournal of Chromatography A, 912(1):187-190 (2001), DOI:  10.1016/S0021-9673(01)00544-1.
  64. Neff, W.E., List, G.R., Byrdwell, W.C., "New Tool for Triacylglycerol Analysis in Food Oils",Lipid Technology, 13(1):15-17 (2001).
  65. Warner, K., Neff, W.E., Byrdwell, W.C., Gardner, H.W., Effect of Oleic and Linoleic Acids on the Production of Deep Fried Odor in Heated Triolein and TrilinoleinJournal of Agricultural and Food Chemistry, 49(2):899-905 (2001), DOI: 10.1021/jf000822f.
  66. Neff, W.E., Warner, K., Byrdwell, W.C., "Odor Significance of Undesirable Degradation Compounds in Heated Triolein and Trilinolein",Journal of the American Oil Chemists' Society, 77(12):1303-1313 (2000), DOI: 10.1007/s11746-000-0205-3.
  67. Byrdwell, W.C., Neff, W.E.,Non-Volatile Products of Triolein Produced at Frying Temperatures Characterized Using Liquid Chromatography with Online Mass Spectrometric DetectionJournal of Chromatography A, 852(2):417-432 (1999), DOI: 10.1016/S0021-9673(99)00529-4.
  68. Neff, W.E., List, G.R., Byrdwell, W.C., Quantitative Composition of High Palmitic and Stearic Acid Soybean Oil Triacylglycerols by Reversed Phase High Performance Liquid Chromatography: Utilization of Evaporative Light Scattering and Flame Ionization DetectorsJournal of Liquid Chromatography and Related Technologies, 22(11):1649-1662 (1999), DOI:  10.1081/JLC-100101758.
  69. Neff, W.E., List, G.R., Byrdwell, W.C., Effect of Triacylglycerol Composition on Functionality of Margarine BasestocksLebensmittel Wissenschaft und Technologie, 32(7):416-424 (1999), DOI:  10.1006/fstl.1999.0571.
  70. Byrdwell, W.C., Atmospheric Pressure Chemical Ionization-MS for Lipid AnalysisINFORM, 9(10): 986-997 (1998).
  71. Neff, W.E, Byrdwell, W.C., Characterization of Model Triacylglycerol (Triolein, Trilinolein and Trilinolenin) Autoxidation Products via High Performance Liquid Chromatography Coupled with Atmospheric Pressure Chemical Ionization Mass SpectrometryJournal of Chromatography A, 818(2):169-186 (1998), DOI:  10.1016/S0021-9673(98)00553-6.
  72. Byrdwell, W.C., Dual Parallel Mass Spectrometers for Analysis of Sphingolipid, Glycerophospholipid and Plasmalogen Molecular SpeciesRapid Communications in Mass Spectrometry, 12(5):256-272 (1998), DOI:  10.1002/(SICI)1097-0231(19980314)12:5<256::AID-RCM149>3.0.CO;2-8.
  73. Byrdwell, W.C., Neff, W.E., Analysis of Hydroxy-Containing Seed Oils Using Atmospheric Pressure Chemical Ionization Mass SpectrometryJournal of Liquid Chromatography and Related Technologies, 21(10):1485-1501 (1998), DOI:  10.1080/10826079808000529.
  74. Byrdwell, W.C., Neff, W.E., "Qualitative and Quantitative Analysis of Triacylglycerols Using Atmospheric Pressure Chemical Ionization Mass Spectrometry", In New Techniques and Applications for Lipid Analysis, M. Mossoba and R. McDonald (eds.), AOCS Press, Champaign, IL, pp. 45-80, 1997.
  75. Byrdwell, W.C., Borchman, D., Liquid Chromatography/Mass Spectrometric Characterization of Sphingomyelin and Dihydrosphingomyelin of Human Lens MembranesOphthalmic Research, 29(4):191-206 (1997), DOI:  10.1159/000268014.
  76. Byrdwell, W.C., Emken, E.A., Neff, W.E., Adlof, R.O., Quantitative Analysis of Triglycerides Using Atmospheric Pressure Chemical Ionization-Mass SpectrometryLipids, 31(9):919-935 (1996), DOI:  10.1007/BF02522685.
  77. Byrdwell, W.C., Neff, W.E., Analysis of Genetically Modified Canola Varieties by Atmospheric Pressure Chemical Ionization Mass Spectrometric and Flame Ionization DetectionJ. Liq. Chromatogr. & Rel. Technol. (Formerly Journal of Liquid Chromatography), 19(14):2203-2225 (1996), DOI:  10.1080/10826079608017152.
  78. Herron, B.F., Bagby, M.O., Isbell, T.A., Byrdwell, W.C., Plattner, R., Weisleder, D., Preparation and Characterization of Methyl 11-Amino-(N-p-toluenesulfonyl)-9-E-octadecenoate and Methyl 8-(N-p-toluenesulfonyl)-9-E-octadecenoate Journal of the American Oil Chemists' Society, 74(3):229-234 (1997), DOI:  10.1007/s11746-997-0128-7.
  79. Borchman, D., Byrdwell, W.C., Yappert, M.C., Thermodynamic Phase Transition Parameters of Human Lens DihydrosphingomyelinOphthalmic Research, 28(Suppl. 1):81-85 (1996), DOI:  10.1159/000267977.
  80. Borchman, D., Ozaki, Y., Lamba, O. P., Byrdwell, W. C., Yappert, M. C., Age and Regional Structural Characterization of Lipid Hydrocarbon Chains from Human Lenses by Infrared, and Near-Infrared Raman, SpectroscopiesBiospectroscopy, 2(2):113-123 (1996), DOI:  10.1002/(SICI)1520-6343(1996)2:2<113::AID-BSPY4>3.0.CO;2-A.
  81. Sato, H., Borchman, D., Ozaki, Y., Byrdwell, W. C., Yappert, M. C., Paterson, C.A., Lipid-Protein Interactions in Human and Bovine Membranes by Fourier Transform Raman and Infrared SpectroscopiesExperimental Eye Research, 62(1):47-53 (1996), DOI:  10.1006/exer.1996.0006.
  82. Neff, W.E., Byrdwell, W.C., Triacylglycerol Analysis by High Performance Liquid Chromatography- Atmospheric Pressure Chemical Ionization Mass Spectrometry: Crepis Alpina and Vernonia Galamensis Seed OilsJournal of Liquid Chromatography, 18(20):4165-4181 (1995), DOI:  10.1080/10826079508013753.
  83. Neff, W.E., Byrdwell, W.C., Soybean Oil Triacylglycerol Analysis by Reversed-Phase High Performance Liquid Chromatography Coupled with Atmospheric Pressure Chemical Ionization Mass SpectrometryJournal of the American Oil Chemists' Society, 72(10):1185-1191 (1995), DOI:  10.1007/BF02540986.
  84. Byrdwell, W.C., Emken, E.A., Analysis of Triglycerides Using Atmospheric Pressure Chemical Ionization Mass SpectrometryLipids, 30(2):173-175 (1995), DOI:  10.1007/BF02538272.
  85. Borchman, D., Ozaki, Y., Lamba, O.P., Byrdwell, W.C., Czarnecki, M. Yappert, M.C., Structural Characterization of Clear Human Lens Membranes by Near-Infrared Fourier Transform Raman SpectroscopyCurrent Eye Research, 14(6):511-515 (1995), DOI:  10.3109/02713689509003763.
  86. Byrdwell, W.C., Borchman, D., Porter, R.A., Taylor, K.G., Yappert, M.C., Separation and Characterization of the Unknown Phospholipid in Human Lens MembranesInvestigative Ophthalmology and Visual Sciences, 35(13):4333-4343 (1994).
  87. Borchman, D., Byrdwell, W.C., Yappert, M.C., Regional and Age-Dependent Differences in the Phospholipid Composition of Human Lens MembranesInvestigative Ophthalmology and Visual Sciences, 35(11):3938-3942 (1994).
  88. Yappert, M.C., Byrdwell, W.C., Borchman, D., Comparison of Specific Blue and Green Fluorescence in Cataractous Versus Normal Human Lens FractionsInvestigative Ophthalmology and Visual Sciences, 34(3):630-636 (1993).
  89. Byrdwell, W.C., "Spectrofluorometric Analysis of Human Lens Proteins, Development of an Extraction, and Chromatographic Separation and Spectroscopic Characterization of the Unknown Phospholipid", Doctoral Dissertation, University of Louisville, Louisville, Kentucky (1994)